| Customization: | Available |
|---|---|
| After-sales Service: | Installation, Commission, Spare Part |
| Warranty: | 12 Months |
| Model NO. | XBC-VTP | Max. Head | >150m |
| Max. Capacity | >400 L/min | Material | Cast Iron |
| Structure | Single-stage Pump | Power | Electric / Diesel |
| Industry | Fire Fighting | Media | Clean Water |
| Standard | NFPA 20 | Certificate | UL Listed |
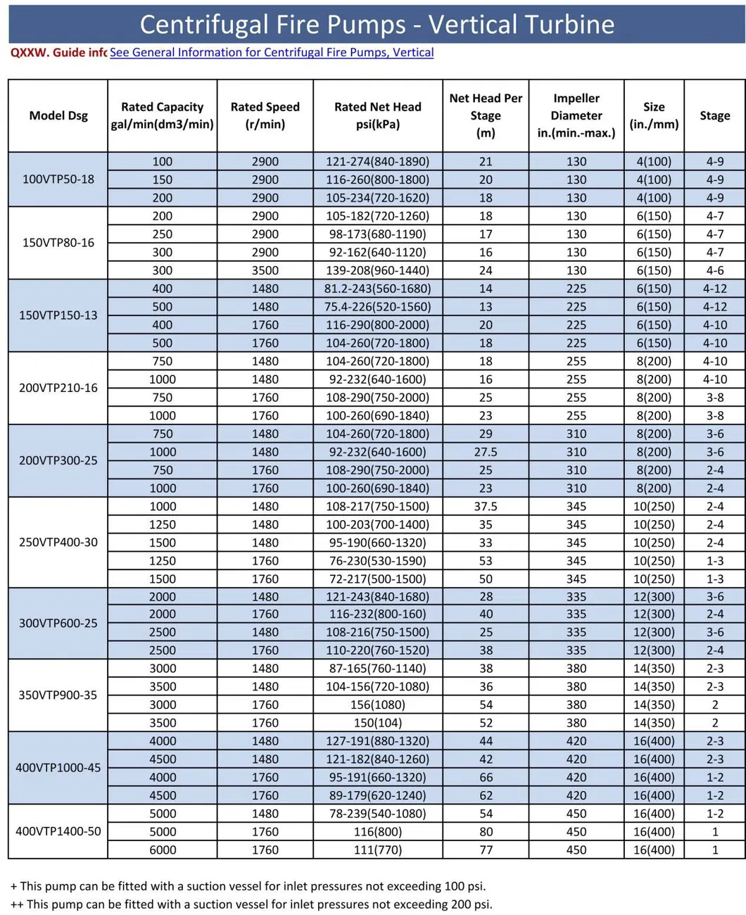
VTP Series vertical turbine long shaft fire fighting pumps are a series of single stage, multistage diffusers pumps, manufactured in accordance with the latest National Standards. The design is optimized with reference to the standard of the United States Fire Protection Association. It is primarily utilized for fire water supply in petrochemical, natural gas, power plants, textiles, warehousing, and high-rise buildings. It is also suitable for marine applications such as ships and fire boats.
| Parameter Item | Technical Specifications |
|---|---|
| Capacity | 50-5000 GPM (11.4 to 1135 m³/hr) |
| Head | 328-1970 feet (28-259 meters) |
| Pressure | Up to 1300 psi (90 km/cm², 9000 kpa) |
| Horse Power | Up to 1225 HP (900 KW) |
| Drivers | Vertical electric motors, diesel engines |
| Construction | Cast iron, Stainless steel, bronze fitted as standard |
Vertical Turbine Centrifugal Fire Pump Section View:



Dimension Specifications:




Fire pumps are critical components for fire engines, fixed fire extinguishing systems, and various industrial facilities. They excel in transporting fire extinguishing agents such as water or foam solutions.





Our production utilizes modern bases covering over 25,000 square meters, equipped with efficient production lines for pumps, motors, and control systems. We focus on technological innovation and environmental protection, ensuring ISO 9001-2015, ISO 14001, and ISO 45001 compliance.


Yes, we have been specializing in pump manufacturing and international marketing for over 15 years.
Our products are exported to more than 50 countries across South-East Asia, Europe, North & South America, Africa, and the Middle East.
To provide an accurate model selection, please provide the required pump capacity, head, medium type, and operation conditions.
Yes, printing your own brand on the pump is fully supported according to international standards.
Our professional service team responds to all technical and pricing inquiries within 24 hours.
Our fire pump installations are designed to follow NFPA 20 and other major international fire protection standards.
Anj