Anj Anj

Diesel Engine Split Case Electric Motors Vertical Turbine Fire Fighting Water Pump

Customization: Available
After-sales Service: Installation, Commission, Spare Part
Warranty: 12 Months

Product Description

Basic Information
Model NO.
XBC-VTP
Max.Head
>150m
Max.Capacity
>400 L/min
Material
Cast Iron
Structure
Single-stage Pump
Industry
Fire Fighting
Theory
Centrifugal Pump
Standard
NFPA 20
Certificate
UL Listed
HS Code
8413709990
Vertical Turbine Fire Fighting Water Pump
Product Description
VTP Series vertical turbine long shaft fire fighting pumps are series of single stage, multistage diffusers pumps, manufactured in accordance with the latest National Standard GB6245-2006. We also improved the design with the reference of the standard of United States Fire Protection Association. It is mainly used for fire water supply in petrochemical, natural gas, power plant, cotton textile, wharf, aviation, warehousing, high-rising building and other industries. It can also apply to ship, sea tank, fire ship and other supply occasions.
Vertical Turbine Pump Details
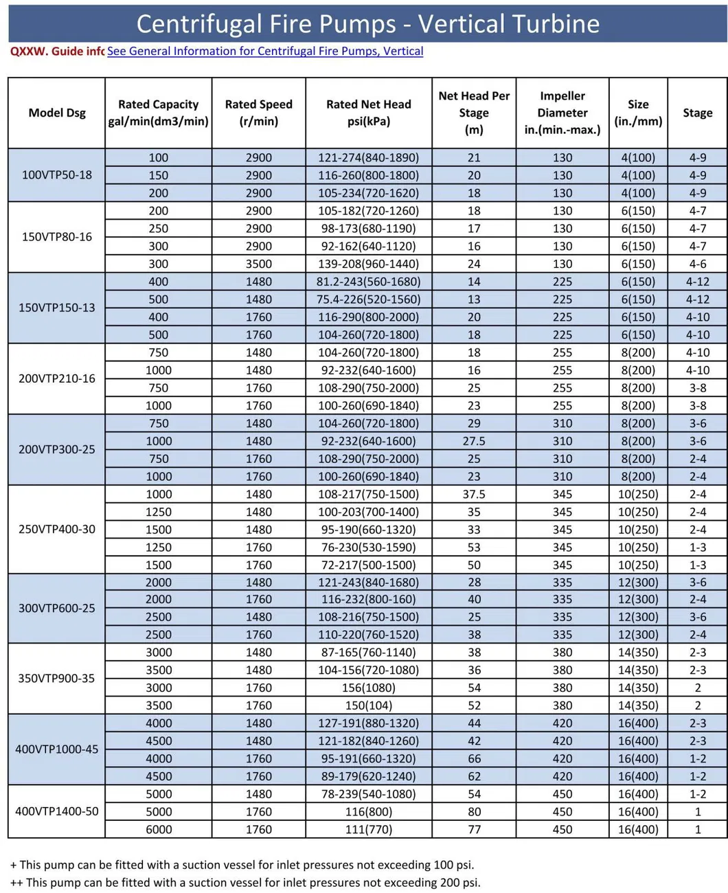
Product Parameters
Parameter Specification
Type of PumpVertical Turbine fire pumps for fire protection systems
Capacity50-1000GPM (11.4 to 227m3/hr)
Head328-1970 feet (28-259 meters)
PressureUp to 1300 psi (90 km/cm², 9000 kpa)
House PowerUp to 1225 HP (900 KW)
DriversHorizontal electric motors, diesel engine
MaterialCast iron, Stainless steel, bronze fitted
TemperatureAmbient limits for equipment operation
Fire Pump installations follow NFPA 20 and CCCF to deliver superior fire protection to facilities worldwide. Service ranges from engineering assistance to fabrication and field start-up.
System Outline
Vertical Turbine Centrifugal Fire Pump Section View & Dimensions
Section View 1
Section View 2
Section View 3
Dimension Sheet 1
Dimension Sheet 2
Product Advantages
  • Pump, driver, and controller are mounted on a common base.
  • Common baseplate unit eliminates the need for separate mounting surfaces.
  • Common unit minimizes the need for interconnecting wiring and assembly.
  • Equipment arrives in a consolidated shipment for faster installation.
  • Custom designed systems including accessories and fittings available.
Advantage 1
Advantage 2
To meet NFPA standards, various accessories are available: concentric discharge increasers, relief valves, eccentric suction reducers, hose valve heads, flow meters, and automatic air release valves.
Accessories
Application
Fire pumps are installed on fire engines, fixed fire extinguishing systems or other facilities. Used as special pumps for transporting liquid or fire extinguishing agents such as water or foam solutions. Major industries include Petrochemical, Power Plants, Warehousing, and Mining.
Application 1
Application 2
Certifications & Capabilities
Focus is always on high-quality and high-performance products. We have passed ISO 9001, ISO 14001, and ISO 45001 certifications. Products have passed SGS inspection.
Quality Guarantee
Excellent manufacturing capabilities with modern production bases covering 25,000 square meters and 5 efficient production lines. Our technical team includes doctoral supervisors, professors, and senior engineers.
Production Base
Engineer Team
Manufacturing
Testing
Certificates
Frequently Asked Questions
Q1. Are you a manufacturer?
Yes, we have been in pumps manufacturing and oversea marketing industry over 15 years.
Q2. What markets do your pumps export to?
More than 50 countries and areas, such as South-East Asia, Europe, North & South America, Africa, Oceanic, and Middle East countries.
Q3. What information is needed for a quotation?
Please provide the pump capacity, head, medium, operation situation, and quantity for an accurate model selection.
Q4. Is OEM branding available?
Yes, printing your own brand on the pump is totally acceptable as per international rules.
Q5. How soon can I get a response regarding pricing?
Our personalized service team will respond to your inquiries within 24 hours.
Q6. Do your fire pumps meet international standards?
Yes, our vertical turbine fire pumps are manufactured in accordance with GB6245-2006 and NFPA 20 standards.

Related Products